| Section summary |
|---|
| 1. Introduction |
| 2. Mixing principle |
| 3. Mixing operating parameters |
| 4. Detailed specifications |
| 5. Mixer sizing |
| 6. Manufacturers of ploughshare
mixers |
High speed shear mixers (among which ploughshare mixers) are developped in process industries for powder Mixing, sometimes with a liquid addition.
They find applications when industrials need to mix particularly cohesive, even lumpy, powders. They are also a mixer of choice when having to add some liquids in the dry blend in order to agglomerate it. There are different designs for shear mixers but one very popular is the ploughshare mixer, a single shaft, high speed mixer using ploughs as mixing instrument. High speed ploughshare mixers, rotating at high speed thus with a Froude number in between 3 and 5, are well suited to mix powder, granules, fibres and can adapt to ingredients having widely different particle sizes while reaching mixing times typically in the 2-5 minutes range..
This webpage is focusing in the detail design of high shear powder mixers.
Shear mixers are using convection and shearing to achieve the mixing of material and its proper de-agglomeration if needed.
The mixing speed has to be set quite high in order to have enough shearing effect and even centrifugate the powder to the walls of the mixer. The design of the paddles is designed for this purpose, shearing and breaking agglomerates of cohesive powder.
It is difficult to give a typical mixing time for shear mixers, as the dependency on the product mixed is very high. A mixing time in the order of 3 min is common.
The mixer performance, i.e. time to reach a desired homogeneity, is a function of the following operating parameters :
Top
5 Most Popular
1.
Pneumatic transport design guide
2. Ribbon
blenders
3. Powder mixing
4. Hoppers design guide
5. Measuring degree of
mixing
--------------
--------------
Top 5 New
1. Continuous Dry Mixing
2. Mixing speed
3. Mixer cycle time
optimization
4. Batch
/ continuous mixing comparison
5. Energy Savings
The power input required for a shear blenders is high, in the range of > 10 kW/m3.
When mixing highly cohesive powders or when spraying a liquid to agglomerate the powder, ploughshare mixers can be fitted with additional mixing tools. Those mixing tools are called deagglomerators, lump breakers or choppers and turn at very high speed. They are generally mounted on the side of the mixer, rather close to the bottom. It case of injection of liquid such as a binder to operate the mixer as a granulator, it is preferable to direct the flux of liquid towards the deagglomerator to break lumps as early as possible and thus control the size of the granules.

Figure 1 : Ploughshare mixer
Side doors are generally used to access this type of mixer, giving a correct access to the inside of the mixer, although the presence of deagglomerators may make the access a bit less convenient than on other mixers type. The plough of the agitator are also generally quite large which makes the cleaning sometimes uneasy, although recent models are fitted with larger side doors allowing to overcome this drawback. Deagglomerators may also be difficult to clean (specific precautions are needed to avoid hurting hands when cleaning the blades).
Some design allow to have an extractable shaft for easier cleaning.
The following instrumentation can be found on ribbon mixers :
In order to process powders, shear mixers, which are mixing with a mixing tool tip speed > 1 m/s, must present the following characteristics :
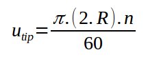
The agitator tip speed can be calculated thanks to the following formula :
With :
- R is the radius of the mixing tool (center of shaft to tip of
plough) in m
- n is the mixing speed in rpm
Equation 1 : Tip speed
This type of mixer can be largely customized to the operator needs. Models with different mixing tools exist, with double jacket, liquid injection or even continuous ploughshare mixers can be designed.
The mixer should be the bottleneck of the installation of mixing, which means that it should not be slowed down by the process section upstream or downstream. The capacity of the installation should be a given and a batch size should be chosen in consequence, considering as well an estimated number of batches / h
Batch size (kg) = Capacity (kg/h) / Number batches per hour (/h)
The mixing process being actually volumetric, it is necessary to know the untapped (loose) density of the mixture to size properly the mixer.
Batch size (l) = Batch size (kg) / Loose density mix (kg/l)
On top of this, it is critical to consider that the system should never be filled at 100% of its capacity, in order to allow space for particles movement.
Total mixer size (l) = Batch size (l) / 0.7
Mixers have maximum filling coefficient in between 0.65 to 0.8 usually.
Several companies can provide high shear mixes, however the company Lodige is well known as having been one of the main developer and producer of ploughshare mixers for powder mixing and granulation, to the point that such mixers are often calle "Lodige mixers".
(Note powderprocess.net has no link with this company)
Sources
Mixing in the Process Industries, Harnby, Edwards, Wienow,
Butterworth Heinemann, 1992
Food Mixing : Principles and Applications, Cullen, Wiley-Blackwell,
2009
Perry's Chemical Engineer's Handbook, McGraw Hill, 2008