NEWS : Process Engineer's Tools is moving to a new address, www.MyEngineeringTools.com, click here to discover the site |
| Section summary |
|---|
| 1. Reciprocating compressor capacity calculation formula |
| 2. Usual values |
| 3. Other relations (mass flowrate, power) |
| 4. Multistage compression |
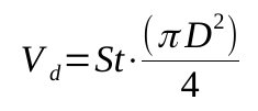
In a reciprocating compressor, the capacity depends on the volume displaced by the piston during its movement. The swept volume of one piston can be calculated the following way




With
Vd=Swept volume (m3)
Vs=Actual volume capacity (m3)
Vc=Clearance volume (m3)
c=clearance=Vc/Vd=Swept volume (m3)
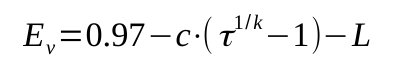
Ev=volumetric efficiency (-)
τ=compression ration = pdischarge / psuction(-)
St=Piston Stroke (m)
k=isentropic coeffient (-)
D=Cylinder internal diameter (m)
For air k=1.4
L=0.04 for lubricated compressors (only for estimation)
c must be defined according to the compressor type but should range
from 0.04 to 0.16
The mass capacity of the compressor can be calculated, per cylinder with




A reciprocating compressor has a cooling system built-in. This particularity, which cannot be implemented for centrifugal compressors, allows to have a discharge temperature close (but not equal) to the isentropic discharge temperature.
Reciprocating compressors are often used in multistage compression with intercoolers in order to maintain the temperatures in a range manageable for the machine. If the compression ratio is > 3, multistage compression is then advised.
