Menu

NEWS : Process Engineer's Tools is moving to a new address, www.MyEngineeringTools.com, click here to discover the site

Churchill correlation (friction factor)


1. Introduction
2. Churchill equation
3. Excel calculation tool

1. Introduction

The friction factor is used to calculate the pressure drop due to the flow of a fluid in a pipe. It represents the interaction in between the fluid and the pipe. There are different ways to calculate it, one can be graphical, using a Moody graph, but for automating calculation it is not practical, thus correlations are required. The Colebrook correlation is usually admitted as being accurate enough for most industrial applications but presents a difficulty as it does not explicitly express the friction factor, that is why it may be interesting to consider Churchill equation that allows to directly calculate the friction factor.

Note that the friction factor used here is Darcy (also called Darcy-Wesibach or Moody) friction factor.

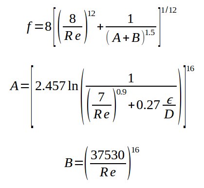
Churchill equation

With :
f = Darcy friction factor
D = Pipe diameter (m)
Re = Reynolds number
ε = pipe roughness (m)

3. Excel calculation tool

Please access to this page to download the free xls calculation tool for Churchill correlation.



Copyright www.PowderProcess.net

The content of PowderProcess.net is copyrighted but no warranty nor liability is ensured. The content of this site is to be seen as a help and important information and calculation must always be double checked by the user through the quality procedure of his organization or by checking another source. The user must always respect all applicable regulation. The use of the information is at the user and its organization own risk and own cost.

www.powderprocess.net is secured by SSL encryption

Follow us on Twitter