NEWS : Process Engineer's Tools is moving to a new address, www.MyEngineeringTools.com, click here to discover the site |
Follow us on Twitter ![]()
Question, remark ? Contact us at powder.process@protonmail.com
| Section summary |
|---|
| 1. Definition of
heat conduction |
| 2. Heat conduction
through a wall |
| 3. Heat conduction through a composite
wall |
| 4. Free Excel calculator for heat wall
conduction |
When a cylindrical wall is submitted to a differential of temperature in between the inside and the outside of the wall, heat is conducted through the material. The most specific case of cylindrical wall and most useful is the pipe, however the concepts exposed in this page can be applied to any cylindrical geometry (chimney...).
Pipe heat conduction is key in many aspects of industry but also find many applications in day to day life :
The heat flux can be calculated for both cooling and heating applications.
Each material is characterized by an ability to conduct heat. It is translated in a thermal conductivity coefficient commonly noted λ . One must be careful as λ can vary a lot from one material to another and can also vary with the temperature. When conducting heat is a priority, like in the design of heat exchanger, λ must be high, while when isolating is a priority, like designing a building or insulating pipes in between process units, λ must be low. It is possible also to associate different materials, especially in insulation applications, in order to reach a target λ while optimizing cost and width of the layers of material.

Figure 1 : Heat flux through a pipe made of a material of conductivity λ
In general, engineers are looking for a high heat conduction through pipes as they are most of the time used to transfer heat within heat exchanger units, thus the thickness of the pipe is reduced as much as mechanically reasonable and a material with good - which means high - thermal conductivity λ is chosen.
The heat transferred by conduction can be expressed the following general way :
Q = U.A.ΔT
With :
Q = heat transferred in W
U = overall heat transfer coefficient in W/m2.°c
A = heat transfer area in m2
ΔT = temperature difference on each surface of the wall in °c
The heat flux, which is the heat transferred expressed as a function of the heat exchange area, can be calculated the following way :
Φ = Q/A = U.ΔT
With :
Φ = heat flux in W/m2
Q = heat transferred in W
U = overall heat transfer coefficient in W/m2.°c
A = heat transfer area in m2
ΔT = temperature difference on each surface of the wall in °c
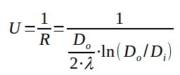
In the case of a simple pipe, monomaterial without insulation, the overall heat transfer coefficient can be expressed by :
U = 1/R = 1/((Do/2λ)*ln(Do/Di))

With :
U = overall heat transfer coefficient in
W/m2.°c
R = heat transfer resistance in m2.°c/W
Do = outside pipe diameter in m
Di = inside pipe diameter in m
λ = material thermal conductivity in W/m.°c
ln = log neperian
It is very important to remark that the expression must be standardized regarding the reference surface as the surface area inside and outside the pipe is different. Most of the time, the reference is taken on the outside surface, which is the convention taken in this page.
For a simple pipe, the expressions can then be summarized as :
Φ = Q/A = Q/(π.Do.L) = (Ti-To)/R = (Ti-To)/((Do/2λ)*ln(Do/Di))

With :
Ti = temperature on the inside
surface of the pipe in °c
To = temperature on the outside surface of the pipe in °c
L = pipe length considered in m
Example of heat conduction through a pipe : in a factory, a chilled water pipe is going through a room at 30c before reaching its point of consumption in another room. The factory operator would like to know what is the additional heat load transferred from the room to the chilled water and that the chiller has to handle. The chiller is supplying water at 4c, the factory operator is measuring the temperature on the pipe at 4.5c. He assumes that the temperature inside the pipe is 4c. The pipe is 81 mm inside diameter and has a thickness of 2.3 mm. It is made of steel with a thermal conductivity of 30 W/m/K. The pipe has a length of 3.5 m.
Φ = Q/A = = (Ti-To)/((Do/2λ)*ln(Do/Di)) = (4-4.5)/((0.0856/(2*30))*ln(85.6/81)) = -6345 W/m2.°cQ = Φ*A = -6345*π.85.6/1000*3.5 = -6 kW
This value is very high and explains
why this kind of pipe needs to be insulated.
In order to avoid heat losses (or gain if the fluid is cold), or for safety reasons, pipes are often insulated with a layer of low conductivity material put around the pipe. The pipe wall becomes then composite as it is made of more than 1 material.

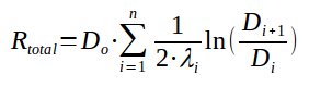
The resistance of each layer can be expressed using the formula developed for a single wall. However, attention must be brought to the expression for the global resistance as care must be taken to refer to the right surface to calculate the heat flux. In the case of a composite walls, resistances are additive.
Considering a wall made of n layers of thickness ei and conductivity λi, the total resistance of the composite wall will be :

With :
Rtotal = heat transfer resistance of the composite wall
in m2.°c/W
Do = outside composite pipe diameter in m
Di = inside diameter of layer i in m
Di+1 = outside diameter of layer i in m
λi = material thermal conductivity in W/m.°c of the layer
i
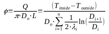
It is then possible to calculate the heat flux through the composite wall, knowing the surface temperatures on the surface of each side of the wall.

With :
Tinside = temperature on the
surface of the wall 1 in °c
Toutside = temperature on the surface of the wall 2 in °c
These expressions are particularly useful when working on insulation of pipes.
Example of heat conduction through a wall composite wall : the factory operator we introduced in the example of paragraph 2 is thinking that the heat gain coming from the environment crossed by the pipe is too high, he then decides to add a layer of 1 in (2.5 cm) of elastomeric material in order to insulate the pipe . The pipe is, as seen above, made of steel with a thermal conductivity of 30 W/m/K. The insulating material has a thermal conductivity of 0.035W/m/K. The pipe is 3.5 m. He measures now 4 degrees on the inside surface and 15 degrees on the surface of the insulating material outside the pipe.
D1 = 81 mm, D2 = 81+2.3*2 = 85.6 mm, D3 = Do = 85.6+25*2 = 135.6 mm
Rtotal =135.6/1000 *
(1/(2*30)*ln(85.6/81) + 1/(2*0.035)*ln(135.6/85.6)) = 0.89
Φ = Q/A = (Tskin1-Tskin2)/R = (4-15)/(0.89) = -12.34 W/m2.°c
Q = Φ*A = -12.34*π.135.6/1000*3.5 = -18.4W = -0.018 kW
The heat gain has been drastically
reduced thanks to the insulation. This will lead to energy
savings.