NEWS : Process Engineer's Tools is moving to a new address, www.MyEngineeringTools.com, click here to discover the site |
Follow us on Twitter ![]()
Question, remark ? Contact us at powder.process@protonmail.com

In order to calculate the flow of liquid through a valve thanks to the Cv, the Engineer must 1st determine if the flow is subcritical or critical (cavitation / flashing). To do so, it is necessary to compare the pressure drop to some limit values.
With
ΔP=Pressure drop accross the valve (bar abs)
FL = liquid pressure recovery factor = [(P1-P2)/(P1-PVC)]
P1 = upstream pressure (bar abs)
P2 = downstream pressure (bar abs)
PVC = pressure at the vena contracta of the valve (bar
abs)
ΔPs = critical pressure drop = P1 -
(0.96-0.28*√(Pv/Pc))*Pv
Pv = vapor pressure of the liquid at the temperature of
the flow (bar abs)
Pc = pressure at thermodynamic critical point (bar abs)
The relations given below are valid only for a Newtonian liquid in turbulent flow.
The volumetric flow of liquid through a valve can be calculated by Qv = Kv.√(ΔP/d) or Qv=Cv/1.156.√(ΔP/d) for subcritical flow.

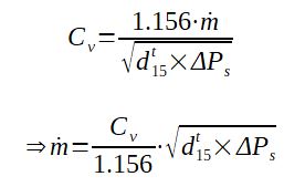
The mass flow rate through the valve can be calculated thanks to the following formula Cv=1.156*m/√(ΔP*d) ⇒ m=(Cv/1.156)*√(ΔP*d) :
With
m=Flow rate (t/h)
Cv=valve flow coefficient (GPM)
ΔP=Pressure drop accross the valve (bar)
d15t=density of the liquid referred to water
at 15 degrees (-) - as the density of water at this temperature is
999.13 kg/m3, d15t can be approximated as
ρ/1000
ρ = density of the liquid at the temperature of flow (kg/m3)
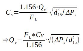
For critical flow, the following formula can be used to calculate the volumetric flow through a valve of coefficient Cv : Qv=FL*Cv/1.156.√(ΔPs/d)
Qv=Flow rate (m3/h)
FL = critical flow factor
Cv=valve flow coefficient (GPM)
ΔPs=as defined above at paragraph 2.1
d15t=density of the liquid referred to water
at 15 degrees (-) - as the density of water at this temperature is
999.13 kg/m3, d15t can be approximated as
ρ/1000
ρ = density of the liquid at the temperature of flow (kg/m3)
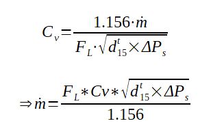
For calculating the mass flow, the following formula can be used :
With :
A control valve has a Cv of 5. The instrumentation on the line show that the pressure drop through the valve is 0.1 bar ? What is the flow through the valve. It is water at 50°c.
The density of water at 15°c is 999.13 kg/m3
The density of water at 50°c is 988.07 kg/m3
The density of water at 50°c compared to water at 15°c is : 988.07/999.13 = 0.9889
The flowrate is Qv=Cv/1.156.√(ΔP/d) = 5/1.156*√(0.5/0.9889) = 3.07 m3/h
Note : the reverse calculation can be done when knowing a flow, a pressure and wanting to calculate the Cv.
The volumetric flow rate of gas through a valve can be calculated from the valve Cv thanks to the following formula :
With
Qv=Flow rate (m3/h) at 15c and 101325 Pa abs
FL = critical flow factor
Cv=valve flow coefficient (GPM)
P1 = upstream pressure (bar abs)
d = gas specific gravity vs air (dair = 1) = M/29
M = molar mass of the gas (g/mol)
T = temparature (K)
Z = compressibility factor (-)
y = (1.63/FL)*√(ΔP/P1)
The mass flowrate through the valve can be calculated thanks to the following formula :
With
m=Flow rate (t/h)
FL = critical flow factor
Cv=valve flow coefficient (GPM)
P1 = upstream pressure (bar abs)
d = gas specific gravity vs air (dair = 1) = M/29
M = molar mass of the gas (g/mol)
T = temparature (K)
Z = compressibility factor (-)
y = (1.63/FL)*√(ΔP/P1)
The formula given above are valid when the valve diameter is equal to the pipe diameter. However, it sometimes happens that the valve is mounted in between pipe reducers which has as an effect to reduce the capacity of the valve. To account for this effect, a coefficient Fp, the piping geometry factor is calculated. The actual Cv is then :
Cv_corrected = Cv / Fp
Fp = [(Cv2*ΣK)/(0.00214*d4)+1]-0.5
With
Cv_corrected = actual Cv of the valve in between pipe reducers
Cv = calculated Cv without pipe reducers
Fp = pipe geometry factor
d = valve diameter (mm)
ΣK = K1 + K2 + KB1 - KB2
K1 = loss coefficient at inlet = 0.5*[1-(d/D1)2]2
K2 = loss coefficient at outlet = [1-(d/D2)2]2
KB1 = Bernoulli coefficient = 1-(d/D1)4
KB2 = Bernoulli coefficient = 1-(d/D2)4
D1 = inside diameter of upstream pipe (mm)
D2 = inside diameter of downstream pipe (mm)
According to [Baumann], the correction of the valve Cv due to viscosity is to be applied only if the fluid has a viscosity > 40 centistokes. The correction procedure requires the calculation of a correction factor FR which will be used in a similar way as the coefficient Fp for pipe geometry.
The
case of laminar flow is according to Baumann calculated the
same way as a correction of viscosity, which appears logic as a
higher viscosity will often lead to laminar flow.
The relations above, in US units, are expressed the following ways to calculate valves of Cv in liquid and gas applications
With P and ΔP in Psi abs, Qvin GPM, Cvin GPM, m in lb/h, d is specific gravity (water = 1 at 60 F), T flowing temperature in R