| Section summary |
|---|
| 1. Introduction |
| 2. Mixing principle of double shaft paddle mixers (with fluidization zone) |
| 3. Mixing operating parameters |
| 4. Detailed specifications |
| 5. Mixer sizing |
Industrial double shaft paddle mixers have been a design of choice for process industries over the last 30 years for bulk solids dry Mixing. They offer many advantages vs other Mixers design thanks to the mixing principle based on the mixture fluidization, especially a short mixing time and a gentle handling of the product which can be attractive in applications requiring high capacity and to avoid damaging the ingredients.
This webpage is focusing in the detail design of :
Note that alternative design of paddle mixers also exist :
Double shaft paddle mixers are convective mixers : the mixer is equipped with 2 agitators mounted with paddles that actively displace the powder.
For the mixing to be efficient, a certain speed of rotation of the shaft must be reached. At this speed, the paddles are able to lift the solid and create a fluidization of the product in the central area of the mixer, which explains the denomination sometimes found in literature of fluidized bed mixers. This zone, called fluidization zone, is the area where mixing actually takes place. Paddle mixers have also profiled paddles with a defined angle promoting both radial and axial mixing, thus optimizing the total mixing time.

Figure 1 : Fluidization zone in double shaft paddle mixer
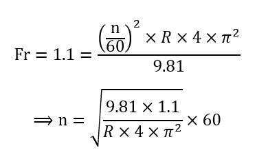
The mixing speed, at which the mixing is optimal, is reached when the Froude number is greater than 1. At such a Froude number, the inertia is high enough to overcome the gravity acting on the solids particles, which allows the paddles to lift the solids and create the fluidization area. It is not necessary, and not desirable, to run a double shaft paddle mixer at Froude number higher than 1-1.1, the mixing time will not be reduced much and the energy inputs to the solids will degrade it (breakage of particles).
Top
5 Most Popular
1.
Pneumatic transport design guide
2. Ribbon
blenders
3. Powder mixing
4. Hoppers design guide
5. Measuring degree of
mixing
Top 5 New
1. Continuous Dry Mixing
2. Mixing speed
3. Mixer cycle time
optimization
4. Batch
/ continuous mixing comparison
5. Energy Savings
The optimal mixing speed for a particular mixer can be calculated, knowing the diameter of the mixing tool, and posing Fr=1.1
Equation 1 : Calculation of the required mixing speed for a double shaft paddle mixer
With :
- R is the radius of the mixing tool (center of shaft to tip of
paddle) in m
- n is the mixing speed in rpm
Double shaft paddle mixers can also be used to mix a small quantity of liquid within the powder, typically to have a light agglomeration effect. This injection should not exceed few % of the batch weight in order not to create lumps. For higher percentages it is however possible to fit those mixers with deaglomerators, small choppers turning at high speed and providing a shearing effect to break lumps that may be formed during the injection of liquid and mixing.
For industrial double shaft paddle mixers, the mixing time is typically 30s to 2-3 min, going longer than this, with a dry-mix, means that something in the setting of the mixer is not correct.
The mixer performance, i.e. time to reach a desired homogeneity, is a function of the following operating parameters :
The mixture desired homogeneity must be set by the final operator of the mixer and tested during the qualification of the double shaft paddle mixer. Sampling and analysis are performed.
Equation 2 : Calculation of mixing tool tip speed
With :
- R is the radius of the mixing tool (center of shaft to tip of
paddle) in m
- n is the mixing speed in rpm
The ease of access is generally considered as one of the strong points of twin shaft paddle mixers.
Depending on the manufacturers, the following options may be ordered, sorted by easiness of access for the operators :
Most of the double shaft paddle mixers available on the market have the shafts supported on both ends by bearings. However, some constructors propose also the option to have cantilevered shafts (bearings on 1 side only), which constitutes an advantage for hygienic applications (food and pharma) by allowing to extract the shaft and leave the inside of the mixer free for an easy cleaning.

Figure 2 : Accessibility options for double shaft paddle mixer (hygienic execution)
Options can be ordered together or 1 by 1.
3 types of discharge valves can be found on the market, depending on the suppliers and the need of the customer. There can be 1 or 2 valves per mixer :
Depending on the technology chosen, the mixer will discharge in a hopper that will be entirely connected to the mixer bomb doors, or to a separate hopper connected through a short pipe to the mixer.
The following instrumentation can be found on twin shaft paddle mixers :
In order to process powders, double shaft paddle mixers, which are mixing with a mixing tool tip speed > 1 m/s, must present the following characteristics :
The paddle tip speed can be calculated thanks to equation 2 above.
The mixer should be the bottleneck of the installation of mixing, which means that it should not be slowed down by the process section upstream or downstream. The capacity of the installation should be a given and a batch size should be chosen in consequence, considering as well an estimated number of batches / h
Batch size (kg) = Capacity (kg/h) / Number batches per hour (/h)
The mixing process being actually volumetric, it is necessary to know the untapped (loose) density of the mixture to size properly the mixer.
Batch size (l) = Batch size (kg) / Loose density mix (kg/l)
On top of this, it is critical to consider that the system should never be filled at 100% of its capacity, in order to allow space for particles movement.
Total mixer size (l) = Batch size (l) / 0.7
Mixers have maximum filling coefficient in between 0.65 to 0.8 usually.
Double shaft paddle mixers, thanks to their working principle based on fluidization, find a lot of applications in industries where a good level of homogeneity is required with possibility to disperse minor ingredients <0.1% while having a gentle mix and short mixing time :
Some executions are however found in other industries, like in construction (can you mix cement with a paddle mixer...), environment or agriculture / animal feed / aqua feed
Many used ribbon blenders can be found on the market. When looking for a 2nd hand mixer, you should go through the following checks :
Double shaft paddle mixers demonstrate remarkable versatility, finding utility in a spectrum of specialized applications across distinct industries :