Question or remark ? Please contact us at admin@powderprocess.net
| Section summary |
|---|
| 1. Definition -
What is the Froude Number |
| 2. Calculation of
Froude Number |
| 3. interpretation
and application of Froude number in powder mixing |
Froude number is an adimensional number. It is comparing 2 forces :
Fr = (forces other than gravity - mainly centrifugal) / gravity
and give an indication of the dynamics of the flow of particles in a mixer.

Equation 1 : Froude number
With
R = mixer radius or mixer agitator radius
ω = angular velocity
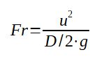
It can be expressed in a more convenient form for powder mixers having a mixing element in equation 2:

Equation 2 : Froude number calculation for blender equipped with a mixing tool (ribbon, paddles...)
With
u = tip speed mixing element
D = diameter of mixing element
The Froude number is used to caracterize how particles will be mixed in a dry-mixer.
Top
5 Most Popular
1.
Pneumatic transport design guide
2. Ribbon blenders
3. Powder mixing
4. Hoppers design guide
5. Measuring degree of
mixing
--------
Top 5 New
1. Continuous Dry Mixing
2. Mixing speed
3. Mixer cycle time
optimization
4. Batch
/ continuous mixing comparison
5. Energy Savings